What Is The Monomer That Makes Up A Carbohydrate Polymer
Camila Farah

Connects monomers to form a polymer 2.
They are necessary for energy storage. If an oligosaccharide has just two monosaccharides composing it it s called a disaccharide. Monomers are monosaccharides simple sugars technically diglycerides and triglycerides are not true polymers because they form via dehydration synthesis of smaller molecules not from the end to end linkage of monomers that characterizes true polymerization. Commonly found polymers include carbohydrates lipids or proteins and are all made of repeating monomer units.
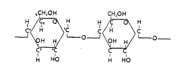
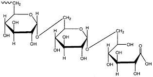
The principal sugars glucose and fructose are known by their single ring structure and are called monosaccharides. It is also known as a polysaccharide. These carbohydrates are basically monomers and they form polymers to produce long chain and complex carbohydrates. Monosaccharides bond with each other to create carbohydrates referred to as either polysaccharides or oligosaccharides.
A carbohydrate polymer is a string of sugar molecules linked together. A monomer is one which is a basic carbohydrate molecule. Carbohydrates polymers are polysaccharides and disaccharides. What is the monomer and polymer of a carbohydrate.
RELATED ARTICLE :
- how to find out what websites you have accounts with
- how to answer what do you do for fun
- how to say what is your name in japanese
Breaks up polymers forming monomers 3. The combination of more than 20 monosaccharides creates a polysaccharide a complex carbohydrate. Monomer simple sugar monosaccharide polymer polysacccharide. Lipids are similarly made of fatty acids and glycerol.
Molecules composed of sugar monomers. What is the monomer of carbohydrates. The dna or rna in our body finds its origin from nucleotides which are monomers. Water is used to break bonds between monomers 4.
Carbohydrate monomers called monosaccharides are composed of units of glucose and fructose. As biology topic 1 carbohydrates and monomers and polymer.
Source : pinterest.com



















